Loma Prieta Validation

From SCECpedia
Revision as of 16:28, 26 September 2025 by Scottcal (talk | contribs)
(diff) ← Older revision | Latest revision (diff) | Newer revision → (diff)
Jump to navigationJump to search

As part of the Study 24.8 validation process, we performed runs for the Loma Prieta event in the BBP for both the BBP and CyberShake.

BBP 1D

Overall GoF GoF, best realization (#7) Residuals by distance (#7) Residual map (#7)
BBP-gof-LOMAP-20250424-combined.png
BBP-gof-LOMAP-2025042407.png
BBP-gof-LOMAP-2025042407-dist.png
BBP-gof-LOMAP-2025042407-map.png

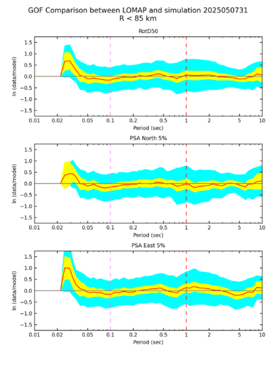
CyberShake 3D

Overall GoF GoF, best realization (#31) Residuals by distance (#31) Residual map (#31)
CS-gof-LOMAP-20250507-combined.png
CS-gof-LOMAP-2025050731.png
CS-gof-LOMAP-2025050731-dist.png
CS-gof-LOMAP-2025050731-map.png

GMPEs

GMPE-gof-LOMAP.png